九江弘達石油化工有限公司于都仙下加油站二級加油站新建項目
發布時間:2020-08-28
|
安全評價單位名稱 |
九江弘達石油化工有限公司于都仙下加油站 |
||
|
項目名稱: |
二級加油站新建項目安全驗收評價報告 |
||
|
簡 介: |
|||
|
九江弘達石油化工有限公司于都仙下加油站是由九江弘達石油化工有限公司經投標中標投資建設,位于于都縣仙下鄉潭石村石下組,于(都)寧(都)公路旁即224省道,站內設2臺50m³的0#柴油臥式罐、1臺50m³的92#汽油臥式罐、1臺50m³的95#汽油臥式罐。油品總貯存能力為150m³(折算成汽油貯量計),屬新建二級加油站,油罐采用雙層非承重罐池直埋方式,并設抗浮基礎,為防滲罐池,加油機采用四臺雙槍加油機,共8槍。
建設項目名稱:九江弘達石油化工有限公司于都仙下加油站新建項目(二級加油站)。
建設單位:九江弘達石油化工有限公司
投資單位:九江弘達石油化工有限公司
法人代表:何治衡
項目地址:江西省贛州市于都縣仙下鄉潭石村石下組
儲存規模:設0#柴油儲罐2臺,每臺儲罐容積為50m3、92#汽油儲罐1臺,儲罐容積為50m3、95#汽油儲罐1臺,容積為50m3??側萘?00m3,折合汽油為150m3,按國家現行《汽車加油與加氣站設計與施工規范》對加油站的等級劃分計算,該站屬二級加油站。
加油能力:加油站設2排加油島,4臺多油品2槍加油機。
勞動就業:勞動定員6人(其中站長1人,副站長兼安全員1人,加油員6人)。
建設內容:項目占地面積近3000㎡,油罐區146㎡,設2臺50m³的0#柴油臥式SF油罐、1臺50m³的92#汽油臥式SF油罐、1臺50m³的95#汽油臥式SF油罐;加油區網架611㎡,設4臺2槍加油機;單層站房170.3㎡ |
|||
|
安全評價項目組長: |
李永輝 |
||
|
技術負責人: |
馬 程 |
||
|
過程控制負責人: |
檀廷斌 |
||
|
評價報告編制人: |
李永輝 |
||
|
報告審核人: |
林大建 |
||
|
參與評價工作的安全評價師: |
李永輝、陳 浩 |
||
|
注冊安全工程師: |
劉志強、李永輝 |
||
|
技術專家: |
劉志強,化工工藝工程師 |
||
|
到現場開展安全評價工作的人員名單: |
劉志強 |
||
|
時間和主要任務: |
完成時間:2020年8月28日;
主要任務:安全驗收評價報告; |
||
|
評價報告: |
|||
|
一、評價對象及范圍:
九江弘達石油化工有限公司于都仙下加油站二級加油站新建工程項目的主體裝置和輔助設施,包括經營過程中的危險和危害因素控制措施和工藝、設備設施的安全可靠性以及安全管理方面的組織、機構、人員、防護設施、作業環境及管理制度等安全經營條件的符合性評價。具體范圍如下:
1.層站房1棟及加油罩棚
二、項目基本情況:
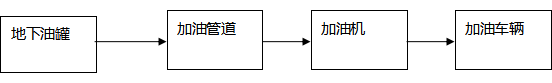
卸油工藝:油罐車行駛至加油站內密封卸油口停車處,利用油罐車與地下儲油罐的高位差,采用密閉式卸油。采用油氣回收系統,在油罐車卸油過程中,將原來儲油罐內散溢的油氣,通過油氣回收地下工藝管線及卸車軟管重新收集至油罐車內,實現卸油與油氣等體積置換。其工藝流程如下圖:
卸油油氣
卸油工藝流程圖
加油工藝:加油作業時,采用潛油泵提供的動力,油品通過加油管道至加油機,進入受油容器。同時,加汽油作業時,有油氣回收回收系統,汽油蒸汽通過油氣回收管道回至汽油罐。具體流程見下圖:
柴油加油工藝流程圖
汽油加油工藝流程圖
三、評價結論
1、九江弘達石油化工有限公司于都仙下加油站新建二級加油站工程項目,由具有相應資質的單位設計和施工,項目的前期手續齊全;申請危險化學品經營單位的前置條件,符合相關的法律、法規和標準規范的要求。
2、危險有害因素辨識結果
①該新建加油站項目,在竣工后的經營過程中所涉及的成品油的儲存量,未構成GB18218-2018規范中規定的危化品重大危險源;汽油和柴油均具有易燃易爆等危險、危害特性;其中汽油機為安監總管三〔2011〕95號文件公布的首批重點監管的危險化學品。
②該加油站在經營過程中存在的主要危險有:火災爆炸、觸電、車輛傷害、高處墜落、坍塌等,存在的主要危害因素有:中毒與窒息、噪聲、高溫執輻射等,同時存在人為失誤和管理缺陷。
3、該加油站固有危險程度,儲罐區經危險度評價為汽油中度危險,柴油罐為低度危險。由于采用埋地油罐、密封操作、加油油氣回收等措施,危險有害程度能控制在可接受的范圍。
4、該站的選址、自然條件、總體布局,能滿足安全經營條件。加油站將經營區域分為加油作業、卸油作業區和辦公營業區、輔助服務區四個分區,功能明確、合理。符合《建筑設計防火規范》、《工業企業衛生標準》、《汽車加油加氣站設計與施工規范》的要求。
5、《安全條件評價檢查表》評價表明,該站安全設施安全條件評價結果符合規范要求;《加油站作業安全規范檢查表》評價,除無應急救援預案演練記錄不符合項外,總體上符合AQ3010-2007標準要求;《安全措施和應急處置原則檢查表》檢查,該站總體上符合零售經營成品油的安全經營條件。
6、加油站的主要危險有害因素是火災爆炸,應予以重點防范。
綜合所述:依據《安全生產法》、《危險化學品管理條例》、《危險化學品經營許可證管理辦法》等法律、法規及其它相關文件、標準檢查,九江弘達石油化工有限公司于都仙下加油站新建二級加油站工程項目,對評價人員提出的整改項目進行了整改落實,且全部到位,因此該加油站的新建工程安全設施符合建設工程竣工驗收的安全條件。
|
|||
|
提交時間: |
2020年8月28日 |
||
|
現場影像資料 |
|||

上一篇:
贛州麥丹油城改建二級加油站建設項目下一篇:
于都通源加油站有限公司二級加油站新建項目



